Eco Four 1.14F управление нагревом ГВС от внешнего термостата

Каскадные и температурные контроллеры. Комнатные термостаты и температурные датчики. Другая увязывающая электроника и климатические регуляторы.

Автор темы
EvgenySh
Опытный
Сообщения: 303
Зарегистрирован: 24 апр 2024, 20:17
Откуда: Москва
Мой котел: Eco Four 1.14F
Благодарил (а): 3 раза
Поблагодарили: 29 раз

Eco Four 1.14F управление нагревом ГВС от внешнего термостата

Сообщение EvgenySh »

Вопрос в подключении управления бойлером с помощью внешнего термостата. В инструкции на модель 1.14F нет такого способа, хотя для двухконтурных котлов этой серии на разъеме есть для этого контакты. Понятно, что фугас легко подключить через внешний термостат, но как в этом случае показать котлу, что требуется приоритет ГВС ? Какие контакты у котла для включения приоритета ГВС можно использовать в этом случае ? Не хочется усложнять систему контроллерами OpenTherm, достаточно использовать сухие контакты по возможности.
Аватара пользователя

Bahus
Главный администратор
Главный администратор
Сообщения: 12969
Зарегистрирован: 24 июл 2012, 13:05
Откуда: Пенза
Мой котел: Пензенская ТЭЦ-1
Благодарил (а): 82 раза
Поблагодарили: 1683 раза
Возраст: 45

Eco Four 1.14F управление нагревом ГВС от внешнего термостата

Сообщение Bahus »

Не очень понятно о каком разъёме речь. Так-то на всю линейку EcoFour ставится одна и та же плата. Хоть на одноконтурный, хоть на двухконтурный.
В ЛС отвечаю только по работе форума

Илья Бахталин

АСЦ BAXI "Санфорт". г. Пенза
Подключение к Зонту - bahus1980

Автор темы
EvgenySh
Опытный
Сообщения: 303
Зарегистрирован: 24 апр 2024, 20:17
Откуда: Москва
Мой котел: Eco Four 1.14F
Благодарил (а): 3 раза
Поблагодарили: 29 раз

Eco Four 1.14F управление нагревом ГВС от внешнего термостата

Сообщение EvgenySh »

Bahus писал(а): 25 апр 2024, 12:14 Не очень понятно о каком разъёме речь.
Вот фото из инструкции для 24F и 1.24F
А также фото из инструкции на Фугас, где показан разъем подключения внешнего термостата на котле. Поэтому вопрос - есть такие контакты на плате 1.14F ?
Вложения
Фугас.jpg
Показан датчик приоритета ГВС
Показан датчик приоритета ГВС
Нет датчика приоритета
Нет датчика приоритета
Аватара пользователя

Bahus
Главный администратор
Главный администратор
Сообщения: 12969
Зарегистрирован: 24 июл 2012, 13:05
Откуда: Пенза
Мой котел: Пензенская ТЭЦ-1
Благодарил (а): 82 раза
Поблагодарили: 1683 раза
Возраст: 45

Eco Four 1.14F управление нагревом ГВС от внешнего термостата

Сообщение Bahus »

Аааа. Про датчик Холла речь. Ну так в одноконтурном он физически отсутствует, но клеммы-то никуда не делись.
Вот только они вам не подойдут. Это не релейный вход, там три контакта.
Чисто теоретически можно попробовать их задействовать так, как они используются в MainFour (там та же плата). Там как-раз герконовое реле ГВС управляет (его мануал смотрите). Тогда нужно изменить значение F07 на 02. И использоваться будут только 2 контакта на замыкание/размыкание.
Попробуйте, расскажете потом. Только эттта. Это низковольтная часть, чего там у вас где на термостате происходит проверьте.
В ЛС отвечаю только по работе форума

Илья Бахталин

АСЦ BAXI "Санфорт". г. Пенза
Подключение к Зонту - bahus1980

Автор темы
EvgenySh
Опытный
Сообщения: 303
Зарегистрирован: 24 апр 2024, 20:17
Откуда: Москва
Мой котел: Eco Four 1.14F
Благодарил (а): 3 раза
Поблагодарили: 29 раз

Eco Four 1.14F управление нагревом ГВС от внешнего термостата

Сообщение EvgenySh »

Bahus писал(а): 26 апр 2024, 13:35 И использоваться будут только 2 контакта на замыкание/размыкание.
Именно это и требуется, чтобы замкнув сухим контактом вход на котле перевести его в режим приоритета ГВС. Управлять фугасом будет сам термостат, это не сложно. Все это нужно для параллельного включения газового Baxi и простого электрокотла без применения сложных контроллеров, а используя только термостаты и сухие контакты.
Аватара пользователя

Bahus
Главный администратор
Главный администратор
Сообщения: 12969
Зарегистрирован: 24 июл 2012, 13:05
Откуда: Пенза
Мой котел: Пензенская ТЭЦ-1
Благодарил (а): 82 раза
Поблагодарили: 1683 раза
Возраст: 45

Eco Four 1.14F управление нагревом ГВС от внешнего термостата

Сообщение Bahus »

Тут ещё нюанс. По мощности нагрева. Котёл в этот момент сравнивает действующую температуру, снимая показания со своего датчика, с заданной. И по мере приближения к последней, будет мощность гасить. А в данном случае датчик будет на стоячей воде и нагрева видеть не сможет. Соответственно будет шарашить на все деньги.
Короч, мне не нравится эта схема. Не проже докупить погружной датчик, а про термостат забыть? И про головняк заодно. Уж не таких великих денег он и стОит.

Отправлено спустя 1 минуту 57 секунд:
И мотором на трёхходе будет внешний контроллер рулить?
В ЛС отвечаю только по работе форума

Илья Бахталин

АСЦ BAXI "Санфорт". г. Пенза
Подключение к Зонту - bahus1980

Автор темы
EvgenySh
Опытный
Сообщения: 303
Зарегистрирован: 24 апр 2024, 20:17
Откуда: Москва
Мой котел: Eco Four 1.14F
Благодарил (а): 3 раза
Поблагодарили: 29 раз

Eco Four 1.14F управление нагревом ГВС от внешнего термостата

Сообщение EvgenySh »

Bahus писал(а): 26 апр 2024, 14:09 И мотором на трёхходе будет внешний контроллер рулить?
Мотором будет рулить термостат, у него перекидное реле с напряжением 220. Также у термостата есть отдельное реле сухой контакт. К нему же подключается датчик NTC 10к. На термостате выставляется температура ГВС с нужным гистерезисом. Дополнительный датчик для baxi есть и будет подключен по инструкции, в бойлере как раз две гильзы. Позже нарисую схему для полного понимания картины. Собственно термостат на фото. Сейчас все работает с простейшим электрокотлом через простой концентратор, к которому подключены термостаты и термоголовки. Но скоро дают газ и нужно начать заморачиваться с резервным подключением.

Отправлено спустя 6 минут 48 секунд:
Bahus писал(а): 26 апр 2024, 14:09 Короч, мне не нравится эта схема. Не проже докупить погружной датчик, а про термостат забыть? И про головняк заодно. Уж не таких великих денег он и стОит.
Схема делается для параллельного подключения двух котлов с полным сохранением функционала на случай выхода из строя газового оборудования. По доп. реле для аварийного сигнала от baxi будет стартовать электрокотел.
Вложения
Term1.jpg
Term2.jpg
Аватара пользователя

Bahus
Главный администратор
Главный администратор
Сообщения: 12969
Зарегистрирован: 24 июл 2012, 13:05
Откуда: Пенза
Мой котел: Пензенская ТЭЦ-1
Благодарил (а): 82 раза
Поблагодарили: 1683 раза
Возраст: 45

Eco Four 1.14F управление нагревом ГВС от внешнего термостата

Сообщение Bahus »

Всё-равно у меня паззл не сходится. Правда мне думать сильно лень.
Делайте в общем. Расскажете.
Да. Скорее всего вам ещё придётся поиграться с параметром F03.
В ЛС отвечаю только по работе форума

Илья Бахталин

АСЦ BAXI "Санфорт". г. Пенза
Подключение к Зонту - bahus1980

Автор темы
EvgenySh
Опытный
Сообщения: 303
Зарегистрирован: 24 апр 2024, 20:17
Откуда: Москва
Мой котел: Eco Four 1.14F
Благодарил (а): 3 раза
Поблагодарили: 29 раз

Eco Four 1.14F управление нагревом ГВС от внешнего термостата

Сообщение EvgenySh »

Bahus писал(а): 26 апр 2024, 14:41 Скорее всего вам ещё придётся поиграться с параметром F03
Этот параметр нужно включать в "котел с внешним бойлером", иначе вход приоритет ГВС не будет иметь значения.
Если не сложно, подскажите где найти инструкции, на которые идет ссылка в таблица программирования параметров ?
Вложения
Инстр.jpg
Аватара пользователя

Bahus
Главный администратор
Главный администратор
Сообщения: 12969
Зарегистрирован: 24 июл 2012, 13:05
Откуда: Пенза
Мой котел: Пензенская ТЭЦ-1
Благодарил (а): 82 раза
Поблагодарили: 1683 раза
Возраст: 45

Eco Four 1.14F управление нагревом ГВС от внешнего термостата

Сообщение Bahus »

семинарскую тетрадь из Аптечки скачайте. Там эти таблицы более подробные.
В ЛС отвечаю только по работе форума

Илья Бахталин

АСЦ BAXI "Санфорт". г. Пенза
Подключение к Зонту - bahus1980

Автор темы
EvgenySh
Опытный
Сообщения: 303
Зарегистрирован: 24 апр 2024, 20:17
Откуда: Москва
Мой котел: Eco Four 1.14F
Благодарил (а): 3 раза
Поблагодарили: 29 раз

Eco Four 1.14F управление нагревом ГВС от внешнего термостата

Сообщение EvgenySh »

Bahus писал(а): 26 апр 2024, 15:02 семинарскую тетрадь из Аптечки скачайте. Там эти таблицы более подробные.
Спасибо, скачал. Газ пока еще не подвели к котлу, все в процессе. Но обвязка есть и хотелось настроить котел. Есть ли возможность как то программно сделать имитацию подачи газа, чтобы не выскакивала ошибка Е01 ? Или какой то сервисный режим ?
Аватара пользователя

Bahus
Главный администратор
Главный администратор
Сообщения: 12969
Зарегистрирован: 24 июл 2012, 13:05
Откуда: Пенза
Мой котел: Пензенская ТЭЦ-1
Благодарил (а): 82 раза
Поблагодарили: 1683 раза
Возраст: 45

Eco Four 1.14F управление нагревом ГВС от внешнего термостата

Сообщение Bahus »

Диод поможет вместо свечки зажигания. Но это ручками делать нужно.
Вместо электрода в кабель ставите диод, полоской вверх. При начале розжига вешаете свободный конец на горелку - котёл видит пламя. Профит

Отправлено спустя 29 секунд:
Только газовый кран закрыть нужно предварительно.
В ЛС отвечаю только по работе форума

Илья Бахталин

АСЦ BAXI "Санфорт". г. Пенза
Подключение к Зонту - bahus1980

Автор темы
EvgenySh
Опытный
Сообщения: 303
Зарегистрирован: 24 апр 2024, 20:17
Откуда: Москва
Мой котел: Eco Four 1.14F
Благодарил (а): 3 раза
Поблагодарили: 29 раз

Eco Four 1.14F управление нагревом ГВС от внешнего термостата

Сообщение EvgenySh »

Bahus писал(а): 20 май 2024, 13:14 Только газовый кран закрыть нужно предварительно.
Крана пока нет, все в процессе.

На свечку идет красный провод из платы управления ? Может проще его отключить с платы и на этот контакт диод повесить, а второй конец на корпус ?
Аватара пользователя

Bahus
Главный администратор
Главный администратор
Сообщения: 12969
Зарегистрирован: 24 июл 2012, 13:05
Откуда: Пенза
Мой котел: Пензенская ТЭЦ-1
Благодарил (а): 82 раза
Поблагодарили: 1683 раза
Возраст: 45

Eco Four 1.14F управление нагревом ГВС от внешнего термостата

Сообщение Bahus »

Получите 35-ю ошибку. Котёл будет видеть пламя когда его быть не должно. Именно поэтому диод заземлять нужно в момент розжига.
В ЛС отвечаю только по работе форума

Илья Бахталин

АСЦ BAXI "Санфорт". г. Пенза
Подключение к Зонту - bahus1980

Автор темы
EvgenySh
Опытный
Сообщения: 303
Зарегистрирован: 24 апр 2024, 20:17
Откуда: Москва
Мой котел: Eco Four 1.14F
Благодарил (а): 3 раза
Поблагодарили: 29 раз

Eco Four 1.14F управление нагревом ГВС от внешнего термостата

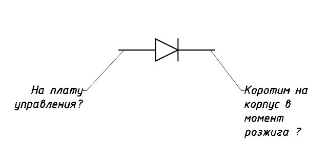
Сообщение EvgenySh »

Bahus писал(а): 20 май 2024, 15:41 Именно поэтому диод заземлять нужно в момент розжига.
Я это и имел ввиду. Просто так проще, не нужно снимать крышку с камеры и трогать свечку. Так выглядит схема ?
Вложения
Диод.jpg
Аватара пользователя

Bahus
Главный администратор
Главный администратор
Сообщения: 12969
Зарегистрирован: 24 июл 2012, 13:05
Откуда: Пенза
Мой котел: Пензенская ТЭЦ-1
Благодарил (а): 82 раза
Поблагодарили: 1683 раза
Возраст: 45

Eco Four 1.14F управление нагревом ГВС от внешнего термостата

Сообщение Bahus »

Да, так.
В ЛС отвечаю только по работе форума

Илья Бахталин

АСЦ BAXI "Санфорт". г. Пенза
Подключение к Зонту - bahus1980

Автор темы
EvgenySh
Опытный
Сообщения: 303
Зарегистрирован: 24 апр 2024, 20:17
Откуда: Москва
Мой котел: Eco Four 1.14F
Благодарил (а): 3 раза
Поблагодарили: 29 раз

Eco Four 1.14F управление нагревом ГВС от внешнего термостата

Сообщение EvgenySh »

Bahus писал(а): 21 май 2024, 09:22Да, так.
Подскажите, какое напряжение с выхода платы управления на свечу зажигания ?
Аватара пользователя

Bahus
Главный администратор
Главный администратор
Сообщения: 12969
Зарегистрирован: 24 июл 2012, 13:05
Откуда: Пенза
Мой котел: Пензенская ТЭЦ-1
Благодарил (а): 82 раза
Поблагодарили: 1683 раза
Возраст: 45

Eco Four 1.14F управление нагревом ГВС от внешнего термостата

Сообщение Bahus »

Семинарская тетрадь говорит, что 12-15 кВ. Ток на датчике 0,5-5 мкА.
В ЛС отвечаю только по работе форума

Илья Бахталин

АСЦ BAXI "Санфорт". г. Пенза
Подключение к Зонту - bahus1980

Автор темы
EvgenySh
Опытный
Сообщения: 303
Зарегистрирован: 24 апр 2024, 20:17
Откуда: Москва
Мой котел: Eco Four 1.14F
Благодарил (а): 3 раза
Поблагодарили: 29 раз

Eco Four 1.14F управление нагревом ГВС от внешнего термостата

Сообщение EvgenySh »

Добрый день. Не нашел информацию относительно входа управления от внешнего термостата (обычного, не OpenTherm). Управляется ли котел по этому входу, если к котлу подключить контроллер на шину OpenTherm ? С панели управление отключается, а что происходит для входа внешнего термостата ?
Аватара пользователя

Bahus
Главный администратор
Главный администратор
Сообщения: 12969
Зарегистрирован: 24 июл 2012, 13:05
Откуда: Пенза
Мой котел: Пензенская ТЭЦ-1
Благодарил (а): 82 раза
Поблагодарили: 1683 раза
Возраст: 45

Eco Four 1.14F управление нагревом ГВС от внешнего термостата

Сообщение Bahus »

Поднял всю тему, там вроде другие вопросы.
Сформулируйте понятнее как-нибудь. Не очень понятно что спрашиваете.
Цифровая шина на плате находится. Если нужна НЕ цифра - обычный термостат с сухими контактами. Подключается на место перемычки на входной колодке котла.
В ЛС отвечаю только по работе форума

Илья Бахталин

АСЦ BAXI "Санфорт". г. Пенза
Подключение к Зонту - bahus1980

Автор темы
EvgenySh
Опытный
Сообщения: 303
Зарегистрирован: 24 апр 2024, 20:17
Откуда: Москва
Мой котел: Eco Four 1.14F
Благодарил (а): 3 раза
Поблагодарили: 29 раз

Eco Four 1.14F управление нагревом ГВС от внешнего термостата

Сообщение EvgenySh »

Да, все верно. Просто возник вопрос, будут ли одновременно работать цифровая шина и контакт под обычный термостат ?
Аватара пользователя

Bahus
Главный администратор
Главный администратор
Сообщения: 12969
Зарегистрирован: 24 июл 2012, 13:05
Откуда: Пенза
Мой котел: Пензенская ТЭЦ-1
Благодарил (а): 82 раза
Поблагодарили: 1683 раза
Возраст: 45

Eco Four 1.14F управление нагревом ГВС от внешнего термостата

Сообщение Bahus »

У Луны-3 есть параметр F10, который это регулирует. EcoFour такового не имеет, к сожалению. Или-или
В ЛС отвечаю только по работе форума

Илья Бахталин

АСЦ BAXI "Санфорт". г. Пенза
Подключение к Зонту - bahus1980

Автор темы
EvgenySh
Опытный
Сообщения: 303
Зарегистрирован: 24 апр 2024, 20:17
Откуда: Москва
Мой котел: Eco Four 1.14F
Благодарил (а): 3 раза
Поблагодарили: 29 раз

Eco Four 1.14F управление нагревом ГВС от внешнего термостата

Сообщение EvgenySh »

Тогда от контроллера ОТ пока придется отказаться и ограничиться простыми термостатами. А значит снова возник вопрос с подключением БКН с управлением от внешнего термостата. Посмотрел на схемы MainFour, подключение датчика приоритета ГВС на разных версиях отличается. Какая схема правильная для моей платы ?
Вложения
Main-5.png
Mainfour.png
EcoFour.png

Starik
Местный аксакал
Сообщения: 7446
Зарегистрирован: 27 ноя 2015, 22:41
Откуда: Краснодарский край
Мой котел: BAXI MAIN 5 14f
Благодарил (а): 73 раза
Поблагодарили: 819 раз
Возраст: 59

Eco Four 1.14F управление нагревом ГВС от внешнего термостата

Сообщение Starik »

EvgenySh писал(а): 15 окт 2024, 11:38Посмотрел на схемы MainFour
Так какой у тебя котел, в итоге?
Аватара пользователя

Bahus
Главный администратор
Главный администратор
Сообщения: 12969
Зарегистрирован: 24 июл 2012, 13:05
Откуда: Пенза
Мой котел: Пензенская ТЭЦ-1
Благодарил (а): 82 раза
Поблагодарили: 1683 раза
Возраст: 45

Eco Four 1.14F управление нагревом ГВС от внешнего термостата

Сообщение Bahus »

Да, я уже тоже запутался. На верхней схеме Main-5, следом MainFour. Фотка, как и все посты EcoFour, причём датчик бойлера вполне себе подключен.
Какая задача-то вообще? Как соотносятся комнатные термостаты с работой ГВС?
В ЛС отвечаю только по работе форума

Илья Бахталин

АСЦ BAXI "Санфорт". г. Пенза
Подключение к Зонту - bahus1980

Автор темы
EvgenySh
Опытный
Сообщения: 303
Зарегистрирован: 24 апр 2024, 20:17
Откуда: Москва
Мой котел: Eco Four 1.14F
Благодарил (а): 3 раза
Поблагодарили: 29 раз

Eco Four 1.14F управление нагревом ГВС от внешнего термостата

Сообщение EvgenySh »

Bahus писал(а): 15 окт 2024, 14:02 причём датчик бойлера вполне себе подключен.
не обращайте на это внимание.
Bahus писал(а): 15 окт 2024, 14:02 Какая задача-то вообще? Как соотносятся комнатные термостаты с работой ГВС?
Ранее Вами было сказано, что платы управления EcoFour и Main одинаковые и поэтому на вход приоритета ГВС вместо датчика холла (3 контакта) можно подключить сухой контакт и прописать F07=2 как у Main. Только вот на разных схемах Main этот датчик по разному подключается (см. скрины). Вопрос - куда подключить сухой контакт на EcoFour ?

Starik
Местный аксакал
Сообщения: 7446
Зарегистрирован: 27 ноя 2015, 22:41
Откуда: Краснодарский край
Мой котел: BAXI MAIN 5 14f
Благодарил (а): 73 раза
Поблагодарили: 819 раз
Возраст: 59

Eco Four 1.14F управление нагревом ГВС от внешнего термостата

Сообщение Starik »

EvgenySh писал(а): 16 окт 2024, 17:54Вопрос - куда подключить сухой контакт на EcoFour ?
:facepalm: Как говорится - занавес!!! :shock:
Котел одноконтурный, какой приоритет ГВС? Подключение бойлера стр. 86, раздел 27.

Автор темы
EvgenySh
Опытный
Сообщения: 303
Зарегистрирован: 24 апр 2024, 20:17
Откуда: Москва
Мой котел: Eco Four 1.14F
Благодарил (а): 3 раза
Поблагодарили: 29 раз

Eco Four 1.14F управление нагревом ГВС от внешнего термостата

Сообщение EvgenySh »

Starik писал(а): 16 окт 2024, 19:22 Котел одноконтурный, какой приоритет ГВС?
Такой же как и двухконтурный, разницы нет.

Starik
Местный аксакал
Сообщения: 7446
Зарегистрирован: 27 ноя 2015, 22:41
Откуда: Краснодарский край
Мой котел: BAXI MAIN 5 14f
Благодарил (а): 73 раза
Поблагодарили: 819 раз
Возраст: 59

Eco Four 1.14F управление нагревом ГВС от внешнего термостата

Сообщение Starik »

EvgenySh писал(а): 16 окт 2024, 19:29Такой же как и двухконтурный, разницы нет.
Поясни какую цель преследуешь со своим приоритетом, иначе это становится похоже на троллинг.

Автор темы
EvgenySh
Опытный
Сообщения: 303
Зарегистрирован: 24 апр 2024, 20:17
Откуда: Москва
Мой котел: Eco Four 1.14F
Благодарил (а): 3 раза
Поблагодарили: 29 раз

Eco Four 1.14F управление нагревом ГВС от внешнего термостата

Сообщение EvgenySh »

Starik писал(а): 16 окт 2024, 19:57 Поясни какую цель преследуешь со своим приоритетом, иначе это становится похоже на троллинг.
Ранее уже писал, что нужно оставить в системе электрокотел как резервный с сохранением всего функционала. С отоплением вопросов нет, а вот с БКН есть определенные трудности по переключению
Ответить
  • Похожие темы
    Ответы
    Просмотры
    Последнее сообщение
  • Система ГВС котла Baxi eco four 24F
    Александр14 » » в форуме Другие вопросы
    3 Ответы
    666 Просмотры
    Последнее сообщение Olegbez
  • ECO Four 24F проблема с ГВС
    maxim.sirotkin » » в форуме Поломалось - чинимся
    2 Ответы
    2323 Просмотры
    Последнее сообщение RADAR
  • baxi eco four 24f ошибка e25 на ГВС, падает давление в СО
    wolgast » » в форуме Поломалось - чинимся
    27 Ответы
    8094 Просмотры
    Последнее сообщение Starik
  • Использование baxi eco four 24f для тропического душа.
    Afanas 85 » » в форуме Другие вопросы
    3 Ответы
    2221 Просмотры
    Последнее сообщение Bahus
  • Baxi eco home 24f подключение термостата
    Kin » » в форуме Электрокоммутация
    14 Ответы
    2841 Просмотры
    Последнее сообщение Kin

Вернуться в «Автоматика котлов»

Кто сейчас на конференции

Сейчас этот форум просматривают: нет зарегистрированных пользователей и 4 гостя